Descripción
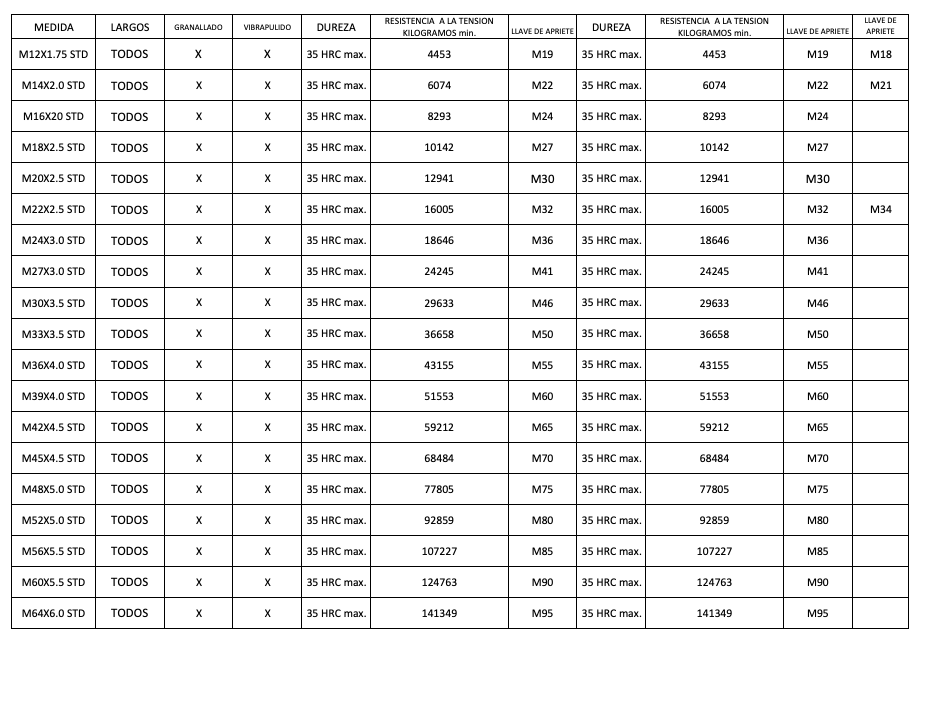
Tornillería para usos generales La producción actual de tornillería está muy automatizada tanto en lo que respecta a la estampación de la cabeza como a la laminación de la rosca. Por lo tanto es fácil encontrar en TORMEX el tornillo que se necesita. Los tornillos normales diferencian su calidad en función de la resistencia mecánica que tienen. La norma (EN ISO 898-1) establece el siguiente código de calidades 4. 6, 5. 6, 5. 8, 8. 8, 10. 9 y 12. 9. En cuanto a dimensiones todas están normalizadas por normas DIN e ISO, TORMEX por fabricar con forja caliente los tornillos son grandes en rosca métrica std y finas por ejemplo con cabeza hexagonal, oscilan entre M12 y M64 El tornillo deriva directamente de la máquina simple conocida como plano inclinado y siempre trabaja asociado a un orificio ciego roscado o tuerca.







